已知三角形的三边长如何求面积?
的有关信息介绍如下:根据海伦公式求:
已知三角形的三边分别是a、b、c,求面积。
先算出周长的一半p=1/2(a+b+c),然后根据公式
,代入数值即可。
举例过程如下:

扩展资料:
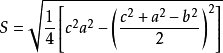
中国古代的数学家秦九韶的三斜求积术
也是利用三角形的三条边的边长直接求三角形面积。
它和海伦公式是等价的,证明过程如下:

海伦公式特点是形式漂亮,便于记忆。
中国宋代的数学家秦九韶在1247年独立提出了“三斜求积术”,虽然它与海伦公式形式上有所不同,但它完全与古希腊数学家的海伦公式等价,它填补了中国数学史中的一个空白,从中可以看出中国古代已经具有很高的数学水平, 是我国数学史上的一颗明珠。
参考资料:百度百科-三斜求积术



