为什么b越大i越大?
的有关信息介绍如下:电流i的变化率越大,磁感应强度越大,不是电流大。变化的电场产生磁场,电流变化越快,电场变化越大,则感应出的磁场越强。

点电荷q以速度v在磁场中运动时受到力f 的作用。在磁场给定的条件下,f的大小与电荷运动的方向有关 。当v 沿某个特殊方向或与之反向时,受力为零;当v与这个特殊方向垂直时受力最大,为Fm。Fm与|q|及v成正比,比值 与运动电荷无关,反映磁场本身的性质。
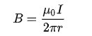
无限长载流直导线外:

扩展资料
通电导体受安培力方向可用左手定则:让磁感线垂直穿过左手手心,四指指向电流方向,并使拇指与四指垂直,拇指所指方向即通电导体所受磁场力(安培力)方向。
若磁感线不与电流方向垂直,则将磁感应强度分解到垂直于电流和平行于电流方向,对垂直于电流的分量应用上述左手定则即可,若平行,则不受安培力。可见,安培力垂直与磁感应强度和电流共同确定的平面。同向的电流相互吸引,反向的电流相互排斥。



