海伦公式是什么
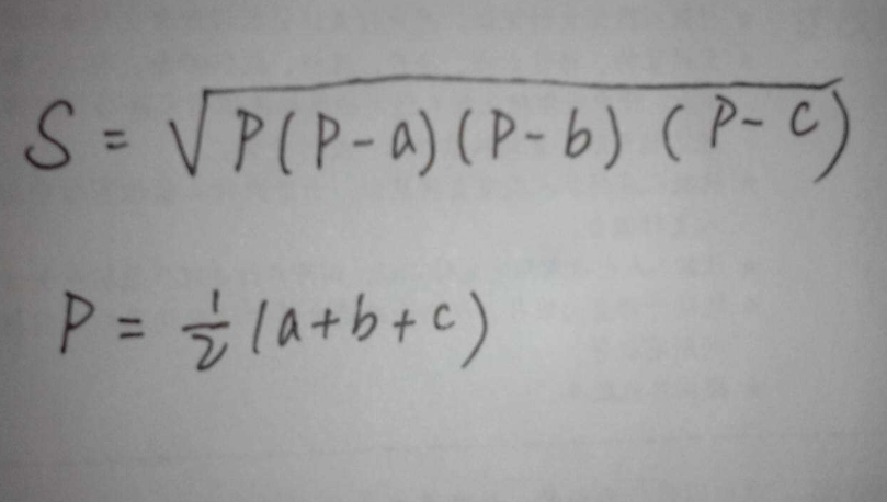
的有关信息介绍如下:海伦公式表达式为:S=√p(p-a)(p-b)(p-c)。海伦公式利用三角形的三条边的边长直接求三角形面积的公式。表达式为:S=√p(p-a)(p-b)(p-c),它的特点是形式漂亮,便于记忆。
相传这个公式最早是由古希腊数学家阿基米德得出的,而因为这个公式最早出现在海伦的著作《测地术》中,所以被称为海伦公式。中国秦九韶也得出了类似的公式,称三斜求积术。

扩展资料
海伦公式的提出为三角形和多边形的面积计算提供了新的方法和思路,在知道三角形三边的长而不知道高的情况下使用海伦公式可以更快更简便的求出面积。
比如说在测量土地的面积的时候,不用测三角形的高,只需测两点间的距离,就可以方便地导出答案。他建立的求积公式,比中国宋代的数学家秦九韶早一千多年。
参考资料来源:百度百科-海伦
参考资料来源:百度百科-海伦公式



