转动惯量计算公式
的有关信息介绍如下:1、对于细杆:
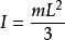
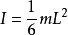
当回转轴过杆的中点(质心)并垂直于杆时
;其中m是杆的质量,L是杆的长度。当回转轴过杆的端点并垂直于杆时
;其中m是杆的质量,L是杆的长度。
2、对于圆柱体:
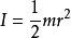
当回转轴是圆柱体轴线时
;其中m是圆柱体的质量,r是圆柱体的半径。
3、对于细圆环:
当回转轴通过环心且与环面垂直时,
;当回转轴通过环边缘且与环面垂直时,
;
沿环的某一直径;R为其半径。
4、对于立方体:
当回转轴为其中心轴时,
;当回转轴为其棱边时
;当回转轴为其体对角线时,
;L为立方体边长。
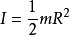
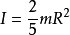
5、对于实心球体:
当回转轴为球体的中心轴时,
;当回转轴为球体的切线时,
;R为球体半径。

扩展资料
质量转动惯量
其量值取决于物体的形状、质量分布及转轴的位置。刚体的转动惯量有着重要的物理意义,在科学实验、工程技术、航天、电力、机械、仪表等工业领域也是一个重要参量。
电磁系仪表的指示系统,因线圈的转动惯量不同,可分别用于测量微小电流(检流计)或电量(冲击电流计)。在发动机叶片、飞轮、陀螺以及人造卫星的外形设计上,精确地测定转动惯量,都是十分必要的。
转动惯量只决定于刚体的形状、质量分布和转轴的位置,而同刚体绕轴的转动状态(如角速度的大小)无关。形状规则的匀质刚体,其转动惯量可直接用公式计算得到。
而对于不规则刚体或非均质刚体的转动惯量,一般通过实验的方法来进行测定,因而实验方法就显得十分重要。转动惯量应用于刚体各种运动的动力学计算中。
参考资料:百度百科——转动惯量



