中学生学习报八年级下册第2期数学的答案
的有关信息介绍如下:第一题:

答案:

第二题:

答案:

第三题:

答案:

第四题:

答案:

第五题:

答案:

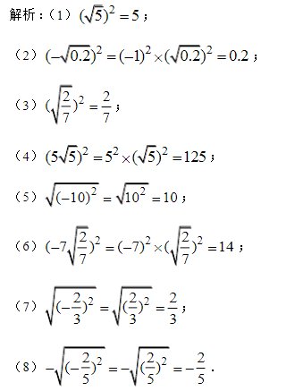
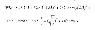
这部分的内容主要考察的是平方根的知识点:
一个正数如果有平方根,那么必定有两个,它们互为相反数。显然,如果知道了这两个平方根的一个,那么就可以及时的根据相反数的概念得到它的另一个平方根。
负数在实数系内不能开平方。只有在复数系内,负数才可以开平方。负数的平方根为一对共轭纯虚数。例如:-1的平方根为±i,-9的平方根为±3i,其中i为虚数单位。
表示为〔±√ ̄〕,其中属于非负数的平方根称之为算术平方根(arithmetic square root)。一个正数有两个实平方根,它们互为相反数,负数没有平方根,0的平方根是0。
每一个过渡数都是由上一个过渡数变化而后,上一个过渡数的个位数乘以20,如果需要进位,则往前面进1,然后个位升十位。
以此类推,而个位上补上新的运算数字。简单地讲,过渡数27,是第一次商的1乘以20,把个位上的0用第二次商的7来换,过渡数343是前两次商的17乘以20=340,其中个位0用第三次商的3来换,第三个过渡数3462是前三次商173乘以20=3460,把个位0用第四次的商2来换,依次类推。



