数学世界十大难题
的有关信息介绍如下:数学世界十大难题:
1、科拉兹猜想

科拉兹猜想又称为奇偶归一猜想,是指对于每一个正整数,如果它是奇数,则对它乘3再加1,如果它是偶数,则对它除以2,如此循环,最终都能够得到1。
2、哥德巴赫猜想

哥德巴赫猜想是数学界中存在最久的未解问题之一。它可以表述为:任一大于2的偶数,都可表示成两个素数之和。例如,4 = 2 + 2;12 = 5 + 7;14 = 3 + 11 = 7 + 7。也就是说,每个大于等于4的偶数都是哥德巴赫数,可表示成两个素数之和的数。
3、孪生素数猜想

这个猜想是最初发源于德国数学家希尔·伯特,他在1900年国际数学家大会上提出:存在无穷多个素数p,使得p + 2是素数。其中,素数对(p, p + 2)称为孪生素数。在1849年,法国数学家阿尔方·德·波利尼亚克提出了孪生素数猜想:对所有自然数k,存在无穷多个素数对(p, p + 2k)。k = 1的情况就是孪生素数猜想。
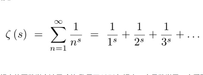
4、黎曼猜想

黎曼猜想由德国数学家波恩哈德·黎曼于1859年提出。它是数学界一个重要而又著名的未解决的问题,素有“猜想界皇冠”之称,多年来它吸引了许多出色的数学家为之绞尽脑汁。
对于每个s,此函数给出一个无穷大的和,这需要一些基本演算才能求出s的最简单值。例如,如果s = 2,则(s)是众所周知的级数1 + 1/4 + 1/9 + 1/16 +…,奇怪是谁,加起来恰好是² / 6。当s是一个复数(一个看起来像a +b的复数)时,使用虚数查找是很棘手的。
5、贝赫和斯维纳通-戴尔猜想

贝赫和斯维纳通-戴尔猜想表述为:对有理数域上的任一椭圆曲线,其L函数在1的化零阶等于此曲线上有理点构成的Abel群的秩。
设E是定义在代数数域K上的椭圆曲线,E(K)是E上的有理点的集合,已经知道E(K)是有限生成交换群。记L(s,E)是E的L函数,则生成上图的贝赫和斯维纳通-戴尔猜想公式。
6、接吻数问题

当一堆球体堆积在某个区域中时,每个球体都有一个“接吻数”,即它所接触的其他球体的数量。例如,如果您要触摸6个相邻的球体,那么您的接吻数是6。一堆球体将具有一个平均接吻数,这有助于从数学上描述情况。但是有关接吻数的问题尚未获得数学上的最终解答。
7、活结死结问题

在数学中,活结死结问题是在给定某种结的情况下在算法上识别不打结的数量。
将绳子的两端在无穷远处接起来,就形成了拓扑学意义上的纽结。如果这个纽结与一个圈在某种意义上拓扑等价,数学上称之为unknot,就意味着原来的结是活结,否则就是死结。
8、大基数

在集合论的数学领域中,大基数性质是有限基数的一种性质。顾名思义,具有这种性质的基数通常非常“大”,它们不能在最普遍的集合论公理化中得到证明。
最小无穷大,记为ℵ₀。那是希伯来语字母aleph;它的读数为“aleph-零”。它是一组自然数的大小,因此被写为|ℕ|=ℵ₀。接下来,一些常见集合大于大小ℵ₀。康托尔证明的主要示例是实数集更大,用|ℝ|>ℵ₀表示。
9、π+e

这个问题全是关于代数实数的。定义:如果实数是某些具有整数系数的多项式的根,则实数是代数的。例如,x²-6是具有整数系数的多项式,因为1和-6是整数。x²-6= 0的根是x =√6和x =-√6,这意味着√6和-√6是代数数。
所有有理数和有理数的根都是代数的。所以可能感觉“大多数”实数都是代数的,结果却恰恰相反。实数可以追溯到古代的数学,而e是从17世纪才开始出现的。
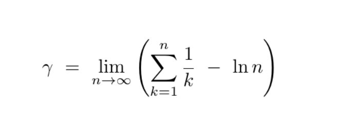
10、γ是有理数吗

这是另一个很容易写出来但很难解决的问题,是欧拉-马斯刻若尼常数,它是调和级数与自然对数的差值。

它的近似值如上。该常数最先由瑞士数学家莱昂哈德·欧拉在1735年发表定义。欧拉曾经使用C作为它的符号,并计算出了它的前6位小数。1761年他又将该值计算到了16位小数。1790年,意大利数学家洛伦佐·马斯刻若尼引入了作为这个常数的符号,并将该常数计算到小数点后32位。
目前尚不知道该常数是否为有理数,但是分析表明如果它是一个有理数,那么它的分母位数将超过10的242080方。目前,已经计算到了几千亿位数,但没有人能证明它是否为有理数。



